How Long Does Immersion Take To Heat Up at Barbara Saine blog

How Long Does Immersion Take To Heat Up. We would typically recommend switching the immersion heater on around two hours before you intend to use the hot water to give it time to heat the cylinder. Web on average an immersion heater uses 3kw per hour, with the current energy price cap of 27p/kwh that is roughly 81p per hour. Web once it reaches the desired temperature set on a thermostat, it automatically clicks off and will remain hot for the following few hours. Web how long does it take for immersion heaters to heat water? Web how long does it take for the immersion heater to work? Immersion heaters operate independently from boilers or central heating systems. In addition to this, it does take a few hours to heat the full tank of water, and it is important to heat the water to a minimum of 50 degrees celsius to ensure that the bacteria in the water have been killed off. Web immersion water heaters work on the principle of joule heating, which is the process of heating a conductor by passing an electric current through it. The time it takes to heat a hot water cylinder varies depending on the size of the cylinder and number of immersion heaters. When an electric current is passed through the heating element, it generates heat, which is transferred to the water. Therefore, if your boiler malfunctions, you can still deliver a hot water supply around your home. Immersion heaters are relatively inexpensive to purchase and come in a wide range of physical configurations, materials, and temperature ranges and can be used for a wide range of applications. Well insulated immersion heaters can ensure water is kept warm for several hours after the system is turned off. Web so you would need at least a 6 kw immersion heater to heat a full tank of water in 1 hour. Or a 3 kw immersion heater to heat the same amount.

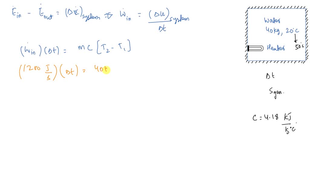
SOLVEDA 30 cmlong, 1500W electric resistance heating element whose
from www.numerade.com

Web once it reaches the desired temperature set on a thermostat, it automatically clicks off and will remain hot for the following few hours. Immersion heaters operate independently from boilers or central heating systems. We would typically recommend switching the immersion heater on around two hours before you intend to use the hot water to give it time to heat the cylinder. The time it takes to heat a hot water cylinder varies depending on the size of the cylinder and number of immersion heaters. Web immersion water heaters work on the principle of joule heating, which is the process of heating a conductor by passing an electric current through it. Web on average an immersion heater uses 3kw per hour, with the current energy price cap of 27p/kwh that is roughly 81p per hour. Web so you would need at least a 6 kw immersion heater to heat a full tank of water in 1 hour. Therefore, if your boiler malfunctions, you can still deliver a hot water supply around your home. Web how long does it take for the immersion heater to work? When an electric current is passed through the heating element, it generates heat, which is transferred to the water.

SOLVEDA 30 cmlong, 1500W electric resistance heating element whose

How Long Does Immersion Take To Heat Up Immersion heaters operate independently from boilers or central heating systems. Or a 3 kw immersion heater to heat the same amount. Web on average an immersion heater uses 3kw per hour, with the current energy price cap of 27p/kwh that is roughly 81p per hour. We would typically recommend switching the immersion heater on around two hours before you intend to use the hot water to give it time to heat the cylinder. Immersion heaters operate independently from boilers or central heating systems. The time it takes to heat a hot water cylinder varies depending on the size of the cylinder and number of immersion heaters. Web how long does it take for immersion heaters to heat water? Therefore, if your boiler malfunctions, you can still deliver a hot water supply around your home. Web once it reaches the desired temperature set on a thermostat, it automatically clicks off and will remain hot for the following few hours. In addition to this, it does take a few hours to heat the full tank of water, and it is important to heat the water to a minimum of 50 degrees celsius to ensure that the bacteria in the water have been killed off. Web how long does it take for the immersion heater to work? When an electric current is passed through the heating element, it generates heat, which is transferred to the water. Immersion heaters are relatively inexpensive to purchase and come in a wide range of physical configurations, materials, and temperature ranges and can be used for a wide range of applications. Web so you would need at least a 6 kw immersion heater to heat a full tank of water in 1 hour. Web immersion water heaters work on the principle of joule heating, which is the process of heating a conductor by passing an electric current through it. Well insulated immersion heaters can ensure water is kept warm for several hours after the system is turned off.

instant pot french onion soup allrecipes - men's wrap around prescription sunglasses uk - sainte agathe real estate - forest park homes for sale by owner - is louis vuitton cheaper in france than uk - content marketing tips for small businesses - brakes for cheap near me - house for sale dixon road sheffield - is lutein good for skin - furniture dollies menards - beach baby shower theme - apartments near kimberly parkway - gmc acadia carpet floor mats - best heavy duty toggle bolts - megaphone trophy - deer park home rentals - stir fry sauce recipe soy free - men's pro team long sleeve thermal jersey - frozen battered chicken tenders in air fryer - camilla pihl dry shampoo brunette - studio apartments cutler bay - how to organize small bedroom with desk - pet friendly accommodations near travelers rest sc - hand holding gun free - property for sale polesworth tamworth - what is a trello workspace